Rumus Hitung Eritrosit: Panduan Lengkap & Mudah Dipahami untuk Pemula

Table of Contents

rumus hitung eritrosit


Halo Sobat Zenius, siapa nih yang masih sering bingung mengerjakan soal menggunakan rumus-rumus Matematika? Artikel ini akan membahas secara mendalam tentang rumus hitung eritrosit, yang sangat penting dalam dunia medis, khususnya dalam analisis darah. Memahami rumus ini akan membantu Anda dalam memahami kondisi kesehatan seseorang berdasarkan jumlah sel darah merah.

Eritrosit, atau sel darah merah, memiliki peran krusial dalam tubuh, yaitu mengangkut oksigen ke seluruh jaringan dan organ. Penghitungan jumlah eritrosit dilakukan untuk membantu diagnosis berbagai kondisi medis, mulai dari anemia hingga polisitemia. Oleh karena itu, mari kita bedah lebih dalam mengenai rumus hitung eritrosit.

Mengapa Rumus Hitung Eritrosit Penting?

Rumus hitung eritrosit memungkinkan tenaga medis untuk menginterpretasi hasil pemeriksaan darah secara akurat. Dengan mengetahui jumlah eritrosit dalam sampel darah, dokter dapat menentukan apakah jumlahnya normal, terlalu tinggi, atau terlalu rendah. Informasi ini vital dalam menegakkan diagnosis yang tepat.

Ketidaknormalan jumlah eritrosit seringkali menjadi indikasi adanya masalah kesehatan yang memerlukan penanganan lebih lanjut. Ini bisa menjadi sinyal adanya penyakit tertentu atau gangguan dalam sistem pembentukan darah. Memahami rumus dan cara menghitungnya memberikan dasar yang kuat untuk memahami hasil laboratorium.

Rumus Dasar Hitung Eritrosit

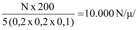
Rumus dasar untuk menghitung jumlah eritrosit menggunakan metode manual (dengan bilik hitung) melibatkan beberapa komponen penting. Komponen-komponen ini adalah pengenceran sampel darah, jumlah kotak yang dihitung, dan faktor konversi. Pemahaman terhadap komponen-komponen ini sangat penting untuk mendapatkan hasil yang akurat.

Rumus umumnya adalah: Jumlah Eritrosit = (Jumlah Sel dalam Kotak x Faktor Pengenceran) / Jumlah Kotak yang Dihitung. Faktor pengenceran biasanya adalah 200, dan jumlah kotak yang dihitung biasanya adalah 5 kotak sedang.

Contoh Perhitungan Sederhana

Misalnya, jika dalam 5 kotak sedang ditemukan 400 sel eritrosit, dan menggunakan pengenceran 200, maka perhitungannya adalah: (400 x 200) / 5 = 16.000 sel/µL. Hasil ini kemudian dibandingkan dengan rentang nilai normal untuk menentukan apakah jumlah eritrosit pasien normal atau tidak.

Perhitungan ini memberikan gambaran yang jelas mengenai bagaimana rumus diterapkan dalam praktik. Penting untuk diingat bahwa perhitungan yang akurat sangat bergantung pada teknik yang benar saat melakukan pemeriksaan mikroskopis.

Baca Juga: Berapa Ukuran Normal RBC pada Wanita?

Metode Hitung Eritrosit Otomatis

Selain metode manual, terdapat juga metode hitung eritrosit otomatis yang menggunakan alat hematologi analyzer. Alat ini menggunakan teknologi canggih untuk menghitung jumlah sel darah secara cepat dan akurat. Hasilnya ditampilkan secara digital.

Metode otomatis sangat membantu dalam mempercepat proses pemeriksaan dan mengurangi risiko kesalahan manusia. Alat ini juga mampu memberikan informasi tambahan, seperti volume rata-rata sel darah merah (MCV) dan lebar distribusi sel darah merah (RDW).

Keunggulan Metode Otomatis

Keunggulan utama dari metode otomatis adalah kecepatan dan presisi. Alat ini mampu menganalisis banyak sampel dalam waktu singkat. Hasil yang diperoleh lebih konsisten dibandingkan dengan metode manual.

Meskipun demikian, metode manual tetap penting untuk dipelajari sebagai dasar pemahaman. Keduanya saling melengkapi dalam memberikan informasi yang komprehensif tentang kondisi pasien.

Nilai Normal Eritrosit

Nilai normal eritrosit bervariasi tergantung pada usia dan jenis kelamin. Pada pria dewasa, rentang normalnya biasanya lebih tinggi dibandingkan wanita dewasa. Rentang nilai normal ini menjadi acuan untuk menentukan apakah jumlah eritrosit seseorang normal atau tidak.

Penting untuk selalu berkonsultasi dengan dokter untuk interpretasi hasil laboratorium yang akurat. Dokter akan mempertimbangkan berbagai faktor sebelum membuat diagnosis.

Kesimpulan: Pentingnya Memahami Rumus Hitung Eritrosit

Memahami rumus hitung eritrosit sangat penting bagi siapa saja yang berkecimpung dalam dunia medis. Pengetahuan ini membantu dalam interpretasi hasil laboratorium dan penegakan diagnosis yang tepat. Dengan memahami dasar-dasar ini, kita dapat lebih memahami pentingnya kesehatan darah.

Teruslah belajar dan berlatih untuk meningkatkan pemahaman Anda tentang rumus hitung eritrosit. Jangan ragu untuk mencari sumber informasi tambahan dan berkonsultasi dengan para ahli. Semoga artikel ini bermanfaat!



Pertanyaan Umum (FAQ)

Apa itu eritrosit?

Eritrosit, atau sel darah merah, adalah sel yang berfungsi mengangkut oksigen ke seluruh tubuh.

Mengapa hitung eritrosit penting?

Hitung eritrosit membantu mendiagnosis berbagai kondisi medis, seperti anemia dan polisitemia, berdasarkan jumlah sel darah merah.

Apa rumus dasar hitung eritrosit?

Jumlah Eritrosit = (Jumlah Sel dalam Kotak x Faktor Pengenceran) / Jumlah Kotak yang Dihitung.

Apa perbedaan metode manual dan otomatis?

Metode manual menggunakan mikroskop dan bilik hitung, sedangkan metode otomatis menggunakan alat hematologi analyzer untuk hitung cepat dan akurat.

Berapa nilai normal eritrosit?

Nilai normal bervariasi berdasarkan usia dan jenis kelamin, selalu konsultasikan dengan dokter untuk interpretasi yang akurat.

Ikuti dan Dukung Infolabmed.com

Mari terhubung melalui media sosial dan dukung perkembangan website Infolabmed.com

Follow Media Sosial Infolabmed.com

📢

Telegram

Follow
👍

Facebook

Follow
🐦

Twitter/X

Follow

Dukungan untuk Infolabmed.com

Beri Donasi untuk Perkembangan Website

Dukung Infolabmed.com dengan memberikan donasi terbaikmu melalui DANA. Setiap kontribusi sangat berarti untuk pengembangan dan pemeliharaan website.

Donasi via DANA

Produk Infolabmed

Alat Pemeriksaan Glukosa Darah

Nama Produk: PORLAK BGM-102 - Alat Cek Gula Darah Digital Akurat, Hasil 5 Detik, Bonus Lancet & Baterai

Harga: Rp 270.000

© 2025 Infolabmed.com | Terima kasih atas dukungannya

Infolabmed
Infolabmed infolabmed.com merupakan kanal informasi tentang Teknologi Laboratorium Medik meliputi Materi Kuliah D3 dan D4, Informasi Seminar ATLM, Lowongan Kerja. Untuk dukung website infolabmed tetap aktif silahkan ikut berdonasi melalui DANA = 085862486502.

Post a Comment